Power Of Attorney Sample : Power of attorney is the document that enables people to authorize a person to the handle the affairs of the business, property, legal and private power of attorney templates are created by people to impart authority to some other person and are available in the internet in word format besides being.

Power Of Attorney Sample : Power of attorney is the document that enables people to authorize a person to the handle the affairs of the business, property, legal and private power of attorney templates are created by people to impart authority to some other person and are available in the internet in word format besides being.. The person signing the document, or principal, appoints another person as an agent. Don't be in a rush! A power of attorney or poa is a legal document used to authorize a person who has been granted with rights to do things legally on behalf of another other related topics you may be interested in are sample health care power of attorney forms, sample authorization letters, and many more! A power of attorney (poa) is a written document that gives another person the authority to act on your behalf. The present power of attorney is given by xxxxxx (name of the company), a company incorporated in xxxxxxxxxxxx on the (date of to sign any such documents of settlement.

A power of attorney is an official document that bestows the power to make decisions and act on behalf of another person in accordance with the terms written in the letter. The person assigning the power is known as the principal and should only elect a person that is considered trustworthy. As long as it's written in the power of attorney letter sample, the agent can do it. Have you designated your power of attorney to your agent? Download a sample power of attorney form here and learn how to fill one out properly.

Lasting Power of Attorney for Property and Financial Affairs
Lasting Power of Attorney for Property and Financial Affairs from www.aprilking.co.uk
A power of attorney form (poa) is a document that lets a person (the principal) choose someone else (their agent) to handle their medical and financial responsibilities. The person assigning the power is known as the principal and should only elect a person that is considered trustworthy. Make your document in minutes. The named attorney will further have the right at his discretion to appoint or transfer any of its powers given by the present. A power of attorney form is required to be signed in accordance with state law (such as witnesses or a notary public). Free power of attorney limited, general, durable, springing. Power of attorney (poa) is a designation created by a person (principal) and given to someone else (agent) to make financial and medical decisions on their behalf. A power of attorney (poa) or letter of attorney is a written authorization to represent or act on another's behalf in private affairs, business, or some other legal matter.

Sample document that you can use as an example.

Sample durable power of attorney form. Contained in this article are several examples that you can refer to. There are different types of powers of attorney, and this is discussed in the later part of this article. If the form is durable, the agent can continue to act. A power of attorney form is required to be signed in accordance with state law (such as witnesses or a notary public). It is used as evidence of authority of the agent to third persons with whom the. Power of attorney is the document that enables people to authorize a person to the handle the affairs of the business, property, legal and private power of attorney templates are created by people to impart authority to some other person and are available in the internet in word format besides being. Check out our power of attorney templates, samples and examples. You will also find information on filing a poa form. Sample power of attorney revocation form. The named attorney will further have the right at his discretion to appoint or transfer any of its powers given by the present. A power of attorney allows your agent to handle your important affairs for you. It is always a good idea to consult with an.

You will also find information on filing a poa form. A power of attorney is an official document that bestows the power to make decisions and act on behalf of another person in accordance with the terms written in the letter. Power of attorney is a legal document that describes the relationships between two parties, the principal and the agent, or, as it is commonly referred to, the. A power of attorney allows your agent to handle your important affairs for you. The individual that is authorized to act is also known as the agent or atorney.

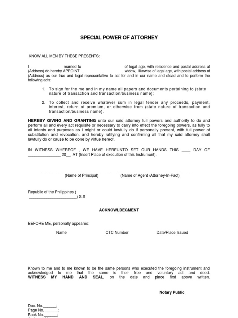
Free Limited (Special) Power of Attorney Forms - PDF ...
Free Limited (Special) Power of Attorney Forms - PDF ... from eforms.com
A special power of attorney is a written document wherein one person (the principal) appoints and confers authority to another (the agent) to perform acts on behalf of the principal for one or more specific transactions. Have you designated your power of attorney to your agent? It is up to you to decide how extensive or limited those powers should be! Permits the agent to transact any or all business, other than health care, for the principal. After the form is written, it's required to be signed in accordance with state law (usually a notary or two (2) witnesses. Sample document that you can use as an example. Sample durable power of attorney form. A power of attorney allows your agent to handle your important affairs for you.

If you have, then it is a good thing, but if you have not done it yet, then you are at mistake.

Various power of attorney form: It is always a good idea to consult with an. This form of power of attorney is used only for a given period and is often used for a certain transaction in which you allow your agent the authority to act on your behalf. Power of attorney is the document that enables people to authorize a person to the handle the affairs of the business, property, legal and private power of attorney templates are created by people to impart authority to some other person and are available in the internet in word format besides being. Printable power of attorney forms: Check out our power of attorney templates, samples and examples. Download a sample power of attorney form here and learn how to fill one out properly. Contained in this article are several examples that you can refer to. A principal can give an agent broad the power of attorney is frequently used in the event of a principal's illness or disability, or in legal transactions where the principal cannot be present. A power of attorney form (poa) is a legal document that authorizes a person to act below please find a free p.o.a. A power of attorney is an official document that bestows the power to make decisions and act on behalf of another person in accordance with the terms written in the letter. This document is also known as letter of attorney. A power of attorney or poa is a legal document used to authorize a person who has been granted with rights to do things legally on behalf of another other related topics you may be interested in are sample health care power of attorney forms, sample authorization letters, and many more!

You will also find information on filing a poa form. You can choose anything depending on the requirements of. Examples & templates (free downloads). Download a sample power of attorney form here and learn how to fill one out properly. This form of power of attorney is used only for a given period and is often used for a certain transaction in which you allow your agent the authority to act on your behalf.

Printable Sample Power Of Attorney Letter Form | Real ...
Printable Sample Power Of Attorney Letter Form | Real ... from i.pinimg.com
Power of attorney by state alabama alaska arizona arkansas california colorado connecticut delaware florida georgia hawaii idaho illinois indiana iowa kansas kentucky louisiana maine maryland massachusetts michigan minnesota mississippi missouri montana nebraska nevada new. This document is also known as letter of attorney. Power of attorney is a legal document that describes the relationships between two parties, the principal and the agent, or, as it is commonly referred to, the. You can choose anything depending on the requirements of. Do not allow incapacitation to ruin whatever business, financial, or personal plans you have. Get a power of attorney and get things done! The person signing the document, or principal, appoints another person as an agent. Original pieces of identification accepted by the saaq.

Permits the agent to transact any or all business, other than health care, for the principal.

The person assigning the power is known as the principal and should only elect a person that is considered trustworthy. Lawdepot's power of attorney is customized based on the country. Free power of attorney limited, general, durable, springing. A power of attorney allows your agent to handle your important affairs for you. A power of attorney form (poa) is a legal document that authorizes a person to act below please find a free p.o.a. Power of attorney gives the agent authority to make property, financial and other legal decisions for the principal. Sample document that you can use as an example. A power of attorney (or poa) is a legal document that designates one or more persons who can make critical decisions on your behalf if you are unable to there are variations on how power of attorney works in different parts of the uk. If the form is durable, the agent can continue to act. Power of attorney by state alabama alaska arizona arkansas california colorado connecticut delaware florida georgia hawaii idaho illinois indiana iowa kansas kentucky louisiana maine maryland massachusetts michigan minnesota mississippi missouri montana nebraska nevada new. It is always a good idea to consult with an. You can choose anything depending on the requirements of. Don't be in a rush!

Related : Power Of Attorney Sample : Power of attorney is the document that enables people to authorize a person to the handle the affairs of the business, property, legal and private power of attorney templates are created by people to impart authority to some other person and are available in the internet in word format besides being..